Notice
Recent Posts
Recent Comments
Link
[꼼꼼한 개발자] 꼼코더
[Spring, Spring Boot] - 순환참조란?(circular dependency) 간단하고 쉽게 이해하기 본문
간단하고 쉽게/Spring, Spring Boot
[Spring, Spring Boot] - 순환참조란?(circular dependency) 간단하고 쉽게 이해하기
꼼코더 2023. 4. 18. 10:39반응형
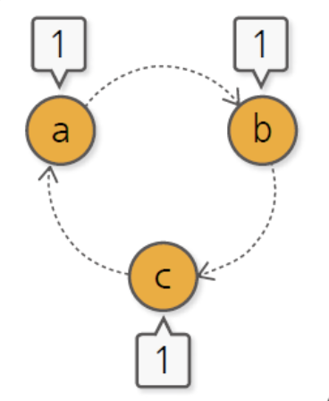
🫨 순환참조(circular dependency)란?
둘 이상의 클래스나 빈(Bean)이 서로를 참조하는 상황을 의미한다.
🎥 예시

클래스 A가 클래스 B를 참조하고
클래스 B가 클래스 C를 참조하고
클래스 C가 다시 클래스 A를 참조하는 경우를 말한다.
👨🏻🏫 마무리
순환참조가 발생하면, 객체 생성 시점에서 무한루프에 빠지게 되어
프로그램이 정상적으로 동작하지 않을 수 있다.
이러한 문제를 해결하기 위해서는 순환참조가 발생하지 않도록 설계를 잘해야 하며
객체 간의 의존성을 최소화하고 의존성 주입 방법을 적절히 선택하여 이를 해결할 수 있다.